onsdag 17. april 2013

Kapittelprøve

Hei :-)

Til uka skal vi ha kapittelprøve  : Her er en link  til oppgaver på nett.
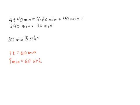
Jeg har også lagt til en video som viser hvordan man regner om fra timer til minutter og fra minutter til sekunder.



Her er noen punkter som dere burde øve på:

- Omgjøre timer til minutter og minutter til sekunder

- Kunne den digitale og analoge klokka  ( hvordan skrives det når det er før og etter kl 12 på formiddagen)

- Hva er tidels sekunder ( Hva betyr tiden hvis det står slik 1.02.04,0)

Ingen kommentarer:

Legg inn en kommentar